Resend my activation email : Register : Log in 
BCF: Bike Chat Forums


Some more Maths + Matlab/Wolfram Alpha queries

Reply to topic
Bike Chat Forums Index -> The Geek Zone
View previous topic : View next topic  
Author Message

Nick 50
World Chat Champion



Joined: 24 Jul 2011
Karma :

PostPosted: 12:21 - 03 Feb 2013    Post subject: Some more Maths + Matlab/Wolfram Alpha queries Reply with quote

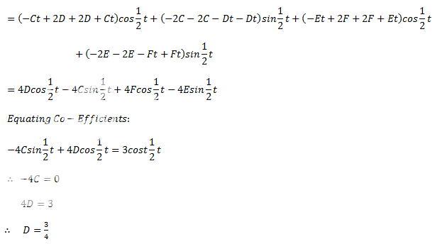
Firstly, could someone confirm I have got the correct answer please?

It's a 2nd Order Differential Equation with Resonance.

https://i300.photobucket.com/albums/nn6/ElScampio/BCFmaths1_zpsed1d87d0.png
https://i300.photobucket.com/albums/nn6/ElScampio/BCFmaths2_zps41b148e4.png
https://i300.photobucket.com/albums/nn6/ElScampio/BCFmaths3_zps86570270.png

I did try Wolfram Alpha which gave me an answer of:

https://i300.photobucket.com/albums/nn6/ElScampio/BCFWA_zpsf40ab561.png

Shocked ermmmmmm ok.

Secondly, can Matlab solve forced 2nd ODE's? If so, what do you input?

Most importantly I checked:
Is_the_answer_Potato.com And it said the answer is definitely NOT Potato.
____________________
Current Bikes: ZX7r 97 (Black Beauty), VFR400 NC24 (The banana)
Previous Bikes: Aprilia Tuono 03 (The Beast), CBR600f (97)
First bike: A GZ125 Lemon.......
 Back to top
View user's profile Send private message You must be logged in to rate posts

el_oso
World Chat Champion



Joined: 17 May 2008
Karma :

PostPosted: 16:59 - 03 Feb 2013    Post subject: Reply with quote

MATLAB will not be able to solve the equation exactly (as far as I'm aware)
you can however use ODE45, which is a fourth order Runge-Kutta method to solve it. Google the documentation on it. It's pretty well documented and easy to implement in MATLAB as long as you know how to reduce that equation into separate matrices. The 4th Order RK4 method is reasonably accurate.
How you would check if your solution is indeed the right solution is to plot a graph using ODE45 against your result
____________________
Duke 390
Previous: '05 XR125L | '96 XJ600S Diversion |'05 Suzuki GSXR1000 | '05 Honda CBR125-R | '97 YZF 600R Thundercat | '11 Honda CBR250
Car: Jeep Wrangler 4.0L
 Back to top
View user's profile Send private message You must be logged in to rate posts

Nick 50
World Chat Champion



Joined: 24 Jul 2011
Karma :

PostPosted: 18:15 - 03 Feb 2013    Post subject: Reply with quote

Thanks the_godfather. I've never really used Matlab to try and solve ODE's before. I will hunt around for info on ODE45 command. Thanks Thumbs Up
____________________
Current Bikes: ZX7r 97 (Black Beauty), VFR400 NC24 (The banana)
Previous Bikes: Aprilia Tuono 03 (The Beast), CBR600f (97)
First bike: A GZ125 Lemon.......
 Back to top
View user's profile Send private message You must be logged in to rate posts

el_oso
World Chat Champion



Joined: 17 May 2008
Karma :

PostPosted: 21:31 - 03 Feb 2013    Post subject: Reply with quote

It is pretty well documented. If you have done programming before and are comfortable/capable of reducing that equation into several linear equations then it is very straight forward.
for example:

https://cdn.bikechatforums.com/files/codecogseqn__2_.gif

and using the substitution for dy/dt

https://cdn.bikechatforums.com/files/codecogseqn__1_.gif

and then solve the 2 equations simultaneously
____________________
Duke 390
Previous: '05 XR125L | '96 XJ600S Diversion |'05 Suzuki GSXR1000 | '05 Honda CBR125-R | '97 YZF 600R Thundercat | '11 Honda CBR250
Car: Jeep Wrangler 4.0L
 Back to top
View user's profile Send private message You must be logged in to rate posts

lihp
World Chat Champion



Joined: 22 Sep 2010
Karma :

PostPosted: 21:19 - 04 Feb 2013    Post subject: Reply with quote

Sorry, but how do you get your formula like that?

What software generates those images?
 Back to top
View user's profile Send private message You must be logged in to rate posts

Nick 50
World Chat Champion



Joined: 24 Jul 2011
Karma :

PostPosted: 21:33 - 04 Feb 2013    Post subject: Reply with quote

PhilDawson8270 wrote:
Sorry, but how do you get your formula like that?

What software generates those images?


Me or the_godfather? If you are referring to mine, I done it on MS Word 2010.
____________________
Current Bikes: ZX7r 97 (Black Beauty), VFR400 NC24 (The banana)
Previous Bikes: Aprilia Tuono 03 (The Beast), CBR600f (97)
First bike: A GZ125 Lemon.......
 Back to top
View user's profile Send private message You must be logged in to rate posts

lihp
World Chat Champion



Joined: 22 Sep 2010
Karma :

PostPosted: 21:36 - 04 Feb 2013    Post subject: Reply with quote

the_godfather, seen a couple of people do it recently in the same format.

I only use Word 2003, so I don't think I could do it your way, it seems it was only added in 2007?

The maths side of my course is handwritten, but annoyingly, assignments are submitted electronically, and all typed for the Mech Engineering side, and thought it would be a nice way of laying out the math.
 Back to top
View user's profile Send private message You must be logged in to rate posts

el_oso
World Chat Champion



Joined: 17 May 2008
Karma :

PostPosted: 22:44 - 04 Feb 2013    Post subject: Reply with quote

That is done using an online latex editor. google laTex editor and there will be a plethora or results.

you can use word 2003. it called equation editor. Again, there is loads of documentation on it.
clicky for instructions on how to open equation editor in word 2003.

in equation editor when you want to insert special characters such as Psi, you can put the / before it. i.e.
Code:

h^2 /2m \nabla^2 \Psi^2 (r) + V(r) \Psi(r) = E \Psi

gives the familiar time independent Schrodinger equation in 3D spherical coordinates with a position dependent electric field

https://cdn.bikechatforums.com/files/codecogseqn_559.gif

EDIT: missed an extra (r) off the last Psi, cbb to change it
____________________
Duke 390
Previous: '05 XR125L | '96 XJ600S Diversion |'05 Suzuki GSXR1000 | '05 Honda CBR125-R | '97 YZF 600R Thundercat | '11 Honda CBR250
Car: Jeep Wrangler 4.0L
 Back to top
View user's profile Send private message You must be logged in to rate posts
Old Thread Alert!

The last post was made 12 years, 363 days ago. Instead of replying here, would creating a new thread be more useful?
  Display posts from previous:   
This page may contain affiliate links, which means we may earn a small commission if a visitor clicks through and makes a purchase. By clicking on an affiliate link, you accept that third-party cookies will be set.

Post new topic   Reply to topic    Bike Chat Forums Index -> The Geek Zone All times are GMT
Page 1 of 1

 
You cannot post new topics in this forum
You cannot reply to topics in this forum
You cannot edit your posts in this forum
You cannot delete your posts in this forum
You cannot vote in polls in this forum
You cannot attach files in this forum
You cannot download files in this forum

Read the Terms of Use! - Powered by phpBB © phpBB Group
 

Debug Mode: ON - Server: birks (www) - Page Generation Time: 0.08 Sec - Server Load: 0.78 - MySQL Queries: 14 - Page Size: 57.55 Kb